当我们在使用word或excel等办公软件时,经常会用到函数公式,在这里可能会看到一个名为stdevp的函数,但是stdevp是什么函数呢,其实这是一个专业性比较高的函数。
stdevp是什么函数:答:stdevp是计算标准差的函数。
标准差代表的是这组数字相较于平均值的离散程度。
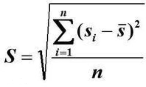
一般来说,会用来计算一组数据的稳定性,计算公式如下:

1、例如,我们有一批钢材,他们的抗断强度不同。
2、这时候,我们就可以使用stdevp函数,选中这一批数据。

3、按下回车后,我们就能看到这批钢材的抗断程度标准差了。
4、一般来说,这个标准偏差的数字越小,说明这组数字越稳定。
5、在这里,标准偏差越小,就说明这批钢材的质量越平均,抗断程度相差越小。

相关文章:函数使用教程
以上就是stdevp函数介绍的全部内容,望能这篇stdevp函数介绍可以帮助您解决问题,能够解决大家的实际问题是乐呵呵网一直努力的方向和目标。

